Menu
×
   ❮     
HTML CSS JAVASCRIPT SQL PYTHON JAVA PHP HOW TO W3.CSS C C++ C# BOOTSTRAP REACT MYSQL JQUERY EXCEL XML DJANGO NUMPY PANDAS NODEJS DSA TYPESCRIPT ANGULAR ANGULARJS GIT POSTGRESQL MONGODB ASP AI R GO KOTLIN SWIFT SASS VUE GEN AI SCIPY AWS CYBERSECURITY DATA SCIENCE INTRO TO PROGRAMMING INTRO TO HTML & CSS BASH RUST TOOLS

Data Science - Linear Functions


Mathematical functions are important to know as a data scientist, because we want to make predictions and interpret them.


Linear Functions

In mathematics a function is used to relate one variable to another variable.

Suppose we consider the relationship between calorie burnage and average pulse. It is reasonable to assume that, in general, the calorie burnage will change as the average pulse changes - we say that the calorie burnage depends upon the average pulse.

Furthermore, it may be reasonable to assume that as the average pulse increases, so will the calorie burnage. Calorie burnage and average pulse are the two variables being considered.

Because the calorie burnage depends upon the average pulse, we say that calorie burnage is the dependent variable and the average pulse is the independent variable.

The relationship between a dependent and an independent variable can often be expressed mathematically using a formula (function).

A linear function has one independent variable (x) and one dependent variable (y), and has the following form:

y = f(x) = ax + b

This function is used to calculate a value for the dependent variable when we choose a value for the independent variable.

Explanation:

  • f(x) = the output (the dependant variable)
  • x = the input (the independant variable)
  • a = slope = is the coefficient of the independent variable. It gives the rate of change of the dependent variable
  • b = intercept = is the value of the dependent variable when x = 0. It is also the point where the diagonal line crosses the vertical axis.


Linear Function With One Explanatory Variable

A function with one explanatory variable means that we use one variable for prediction.

Let us say we want to predict calorie burnage using average pulse. We have the following formula:  

f(x) = 2x + 80

Here, the numbers and variables means:

  • f(x) = The output. This number is where we get the predicted value of Calorie_Burnage
  • x = The input, which is Average_Pulse
  • 2 = Slope = Specifies how much Calorie_Burnage increases if Average_Pulse increases by one. It tells us how "steep" the diagonal line is
  • 80 = Intercept = A fixed value. It is the value of the dependent variable when x = 0

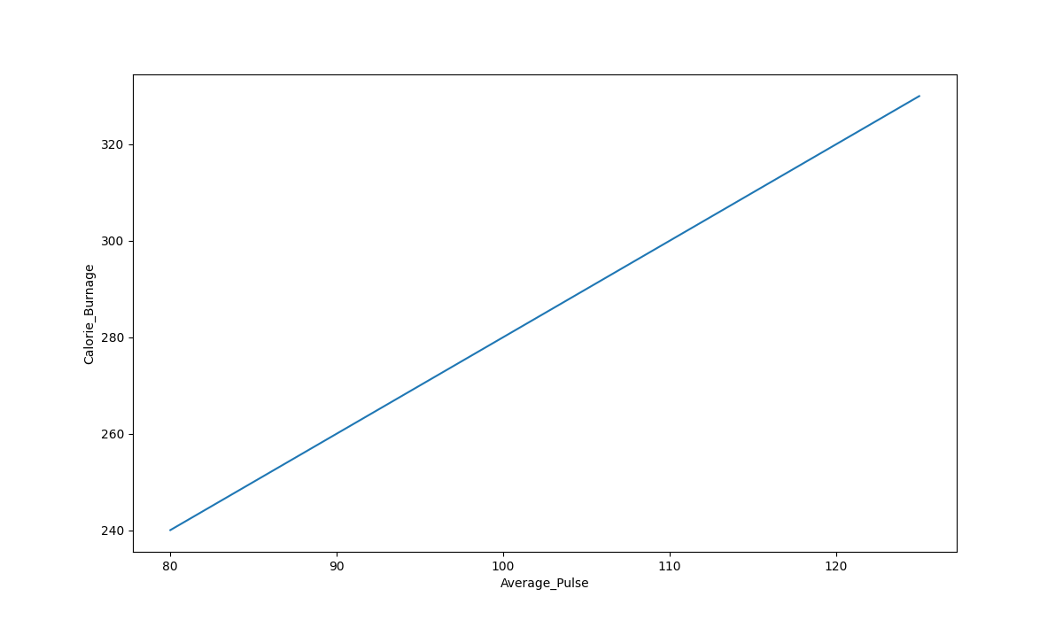
Plotting a Linear Function

The term linearity means a "straight line". So, if you show a linear function graphically, the line will always be a straight line. The line can slope upwards, downwards, and in some cases may be horizontal or vertical.

Here is a graphical representation of the mathematical function above:

Linear function

Graph Explanations:

  • The horizontal axis is generally called the x-axis. Here, it represents Average_Pulse.
  • The vertical axis is generally called the y-axis. Here, it represents Calorie_Burnage.
  • Calorie_Burnage is a function of Average_Pulse, because Calorie_Burnage is assumed to be dependent on Average_Pulse.
  • In other words, we use Average_Pulse to predict Calorie_Burnage.
  • The blue (diagonal) line represents the structure of the mathematical function that predicts calorie burnage.

×

Contact Sales

If you want to use W3Schools services as an educational institution, team or enterprise, send us an e-mail:
sales@w3schools.com

Report Error

If you want to report an error, or if you want to make a suggestion, send us an e-mail:
help@w3schools.com

W3Schools is optimized for learning and training. Examples might be simplified to improve reading and learning. Tutorials, references, and examples are constantly reviewed to avoid errors, but we cannot warrant full correctness of all content. While using W3Schools, you agree to have read and accepted our terms of use, cookies and privacy policy.

Copyright 1999-2026 by Refsnes Data. All Rights Reserved. W3Schools is Powered by W3.CSS.

-->