|
Menu
×
×
Correct!
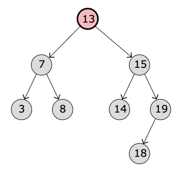
Exercise:When deleting node 13 in the Binary Search Tree below:
We first need to find
the node's in-order @(11).
We first need to find
the node's in-order successor .
We first need to find
the node's in-order predecessor.
We first need to find
the node's in-order successor.
Not CorrectClick here to try again. Correct!Next ❯ |
This will reset the score of ALL 43 exercises.
Are you sure you want to continue?