|
Menu
×
×
Correct!
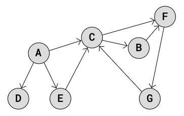
Exercise:How can the Graph below be described?
The Graph is cyclic,
connected, and @(8).
The Graph is cyclic,
connected, and directed.
Not CorrectClick here to try again. Correct!Next ❯ |
This will reset the score of ALL 43 exercises.
Are you sure you want to continue?